[5주차/DL1팀/논문 리뷰] Gated Recurrent Neural Network
Abstract
- 해당 논문에서는, 다양한 유형의 RNN을 비교한다. 특히 LSTM과 GRU와 같이 gate를 활용하는 메커니즘 구현에 초점을 맞춰 구현을 진행하게 되고, polyponic muis modeling과 speech signal modeling을 통해 평가를 진행한다.
- 해당 실험을 통해, tanh를 활용한 전통적인 방법보다 advanced recurrent unit를 활용하는 것에서 훨씬 좋은 성능을 보이는 것을 입증시켰으며, GRU와 LSTM에 대한 비교가 가능하다는 것을 확인하였다.
1. Introduction
- RNN은 입출력의 길이가 가변적인 경우에 유망한 결과를 보인다.
- 입력, 출력이 가변적이라는 의미는 '번역' 과정을 떠올리면 이해가 수월하다.
- 하지만 vanilla RNN으로는 거의 이러한 결과를 얻지 못하는데, 대신에 정교한 hidden units를 활용하여 long-short term memory 를 갖도록 적용시켜야 한다.
- 해당 논문에서는 LSTM과 비교적 최근에 설명되는 GRU 를 다루는데, 여기에 전통적인 tanh unit까지 평가를 진행하여 비교한다.
- 여러 실험을 통해, GRU가 CPU의 수렴속도와 parameters의 업데이트 및 일반화 측면에서 LSTM 을 앞설 수 있다는 결론을 얻었다.
2. Background: Recurrent Neural Network
- RNN은 가변 길이 시퀀스를 input으로 받으며 기존의 feedforward network의 확장된 모습이다.
- 가변 길이 시퀀스는 recurrent hidden state를 통해 다루어지며, 이때 활성화함수는 이전 시간에 의존한다.



- 각 시퀀스의 결과는 확률 분포의 형태로 표현되며, 해당 확률분포는 조건부확률로 표시될 수 있다.
- 하지만, RNN이 long-term dependencies를 갖도록 훈련시키는 것은 어렵다. ~ long-term 은 short-term 에 의해 hidden 되는 특성을 갖고 있다.
- gradient vanishing
- gradieng explode
- 위 두 가지 문제를 해결하기 위해 더 나은 learning algorithm이 존재한다.
- simple clipped gradient
- 첫 번째 기울기와 두 번째 기울기의 패턴을 동일하게 가져간다면, 덜 민감하게 학습가능
- 위 두 방법 이외에 이 논문이 중심을 두는 건 더욱 정교한 활성화 함수를 디자인 하는 것
- "element-wise nonlinearity ~ Gating Units를 활용하자"
- LSTM, GRU가 그 예시인데 이 unit들은 long-term dependencies를 더 잘 보장해주는 효과를 갖는다.
- 음성 인식, 기계 번역 등의 분야에서 우수한 성능을 발휘하나, 이에 국한되지는 않습니다.
3. Gated Recurrent Neural Networks
3.1 Long Short-Term Memory Unit (LSTM)

LSTM Structure

time t에서의 memory h

output gate

memory cell c

new memory content

forget & input gate
- 직관적으로, LSTM은 이른 단계에서 important feature를 탐지하고, 이 정보를 오랬동안 유지한다.
- 결국 long-distance dependencies를 잡을 수 있게되는 것.
3.2 Gated Recurrent Unit

GRU structure
- LSTM과 유사하게, GRU는 unit 내부에서 정보의 흐름에 관여하는 gating units를 갖고 있다.
- 차이점은, 별도의 분리된 메모리셀 (LSTM에서의 C)을 갖지는 않는다.

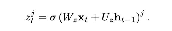
- 변수 z(update gate) 에 의해서 이전 기억을 얼만큼 업데이트 시킬지를 결정한다.

update gate
- 전체적인 계싼 메커니즘이나 방식은 LSTM과 유사하지만, state를 얼마나 노출시킬지의 "정도"를 통제할 수 없고 매번 "전체"를 노출해야한다는 차이점이 존재한다.

- 변수 r (reset gate) 는 forget gate와 유사한 역할을 수행하는데, 이전의 상태를 얼마나 기억할지를 결정한다.

reset gate
- 정리하자면, GRU는 2개의 gate가 존재하는데,
- Reset gate : 과거 h를 얼마나 제외할지 결정
- Update gate : 어떤 info를 담을지, 제외할지 결정 ~ LSTM의 input + forget을 합쳐놓은 듯한 역할
3.3 Discussion
- 기존 RNN의 경우엔, 이전의 hidden state를 활용해 새로운 값을 대체
- 반면 LSTM & GRU의 경우, 기존의 내용을 유지하면서 그 위에 새로운 값을 추가
- 장점 1 : 입력 스트림에서의 특정한 특징에 대한 존재를 긴 steps 동안 더 잘 기억할 수 있음 (중요한 특징이라면 덮어지지 않고 유지됨)
- 장점 2 : 몇 개의 시간 단계를 우회하는 shortcut을 생성 (이는 back propagation시 gradient vanishing 없이 더 효율적으로 진행되도록 도움)
- LSTM 과 GRU의 차이점
- 메모리 콘텐츠의 노출을 제어함 ~ LSTM은 output gate에 의해 조절되는 반면, GRU는 모든 내용을 어떤 통제도 없이 노출
- LSTM 은 이전 시간에서 흘러오는 정보의 양을 별도의 control 없이 계산함
- LSTM은 새로운 메모리 셀을 forget gate와 독립적으로 통제함
- GRU는 이전 활성화의 정보 흐름을 비독립적으로 통제함
- 이러한 유사점 & 차이점만으로는 어떤 Gate 유형이 더 나은 성능을 발휘하는지 애매하며, 기존 논문들에서는 성능이 비슷하다고 보고하지만 이것이 machine translation에도 적용되는지는 불분명하기 때문에 철저한 비교가 필요하다.
4. Experiments Setting
4.1 Tasks and Datasets
sequence modeling 수행에서 LSTM, GRU, tanh 유닛을 비교한다. sequence modeling은 주어진 훈련 시퀀스에서 log-likelihood를 최대화하며 sequence별로 확률분포를 학습시키는 것을 목적으로 한다.

Polyphonic music modeling - 4가지 music datasets 사용 / output unit으로 logistic sigmoid 함수
speech signal modeling - Ubisoft의 2가지 데이터셋을 사용 / output layer로 20개의 구성요소를 가진 가우시안 사용
4.2 Models

세가지 유닛간 공정한 비교를 위해 거의 똑같은 개수의 파라미터를 가지게 하였다. 또한 의도적으로 overfitting을 막기 위해 모델을 충분히 작게 만들어 비교가 용이하게 한다. 각 모델을 RMSProp으로 훈련시키고 0.075로 고정된 표준편차를 가진 weight noise를 사용하며, 각 업데이트마다 1보다 큰 경우 exploding gradient를 막기 위해 기울기의 norm을 1로 지속적으로 조정시킨다. unifrom distribution (-12, -6)에서 샘플링된 10개의 log-uniform candidates 사이에서 검증 성능을 최대화하기 위한 learning rate를 선택한다.
5. Results and Analysis


6. Conclusion
본 논문에서는 LSTM, GRU 그리고 기존의 tanh units로 평가를 진행하며 기존의 방법보다 gated mechanism이 더 좋은 성능을 보였지만 LSTM과 GRU 사이에는 우위를 가리지 못하여 향후 연구에서 더 철저한 실험이 진행되어야 한다.